我院师生在国际期刊《Journal of Industrial Information Integration》上发表新成果
来源:永利官网
发布时间:2024年11月01日

近日,我院师生在国际知名期刊Journal of Industrial Information Integration(JCR一区,中科院一区TOP,IF=10.4)上在线发表了题为“E-CARGO-Based Dynamic Weight Offload Strategy with Resource Contention Mitigation for Edge Networks”的研究论文。论文第一作者为我院电子信息专业硕士研究生毛文逸,我院谭文安教授为通讯作者,上海第二工业大学为第一通讯单位。

1. 成果简介

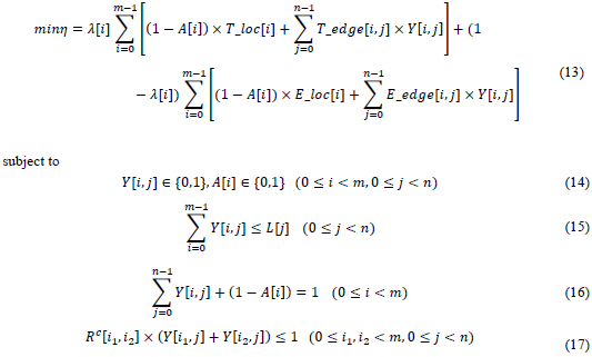
随着移动边缘计算(MEC)在以工业物联网(IIoT)和5G网络为背景的智能制造系统中的广泛应用,如何高效地卸载计算任务成为了当下的研究热点。引入基于角色协同(RBC)的环境-类、Agent、角色、组和对象(E-CARGO)模型,综合管理边缘网络环境中的MEC服务器和终端用户计算任务,以提高智能制造系统任务卸载的效果与性能。首先,以时延与能耗作为评价卸载效果的重要指标,提出了基于用户时延容忍度的预分配算法,动态调整时延-能耗权重因子,从而实时调节卸载决策的优化系统资源调配;其次,扩展基于E-CARGO的Agent角色冲突的组角色分配(GRACAR)模型,提出了动态权重的GRACAR(GRACAR-DW)模型并进行形式化建模。通过引入资源争用约束,主动消解了因卸载到同一MEC服务器的任务数据量过大而导致的资源争用;最后设计出基于混合整数线性规划(MILP)的Gurobi求解方案支持所提出模型的验证和综合应用。仿真实验证明该方法在时延与能耗方面,显著提升了MEC系统的整体性能,为边缘网络卸载决策提供新的思路与技术支持。

2. 图文信息